star twitter facebook envelope linkedin youtube alert-red alert home left-quote chevron hamburger minus plus search triangle x

Ứng dụng của ma trận trong kinh tế.

Bài toán: Tính tổng chi phí sản xuất

Một công ty sản xuất 2 loại sản phẩm:

  • Sản phẩm A
  • Sản phẩm B

Chi phí cho mỗi sản phẩm gồm:

  • Nguyên liệu
  • Nhân công

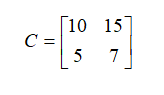
👉 Ma trận chi phí cho 1 sản phẩm:

                

Trong đó:

  • Hàng 1: chi phí nguyên liệu
  • Hàng 2: chi phí nhân công
  • Cột 1: sản phẩm A
  • Cột 2: sản phẩm B

 Số lượng sản xuất:   

                           

 Yêu cầu

Tính tổng chi phí nguyên liệu và nhân công.

 Giải

 Bước 1: Nhân ma trận

Tổng chi phí:    

                      

 Nghĩa là:

  • Tổng chi phí nguyên liệu: 4000
  • Tổng chi phí nhân công: 1900

 Ý nghĩa

  • Ma trận giúp tính nhanh tổng chi phí khi sản xuất nhiều sản phẩm
  • Dễ mở rộng:
    • Thêm sản phẩm → thêm cột
    • Thêm loại chi phí → thêm hàng
A - Z Sitemap

Đào tạo, nghiên cứu gắn liền với khoa học và công nghệ nhằm tạo ra những sinh viên và học viên có lòng yêu nước, có phẩm chất nhân văn mang đậm bản sắc Việt Nam, có ý thức sinh hoạt cộng đồng, có sức khỏe, có năng lực và kỹ năng toàn diện, tự tin, năng động, sáng tạo và trở thành công dân khởi nghiệp mang tính toàn cầu.