star twitter facebook envelope linkedin youtube alert-red alert home left-quote chevron hamburger minus plus search triangle x

Ứng dụng của tích phân trong vật lý

Trong Vật lý, rất nhiều đại lượng được mô tả thông qua sự biến thiên liên tục theo không gian hoặc thời gian. Do đó, tích phân trở thành công cụ chủ đạo để tổng hợp, đo lường hoặc liên hệ các đại lượng vật lý từ những biến đổi vi mô. Có thể xem tích phân như phương pháp “cộng dồn vô hạn” các phần tử nhỏ, từ đó thu được đại lượng toàn phần.

1. Công – Công suất

Một lực có thể thay đổi theo vị trí hoặc thời gian. Công của lực F(x) tác dụng lên vật khi vật di chuyển dọc theo trục x từ x = a đến x = b được tính bởi:

Công thức này cho phép mô tả các trường hợp lực không hằng số, như lực đàn hồi của lò xo F(x) = kx hoặc lực hấp dẫn biến thiên theo độ cao.

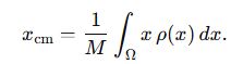
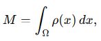
2. Khối lượng – Khối tâm

Khi mật độ khối lượng không đồng đều, tích phân cho phép tính khối lượng thực:

trong đó ρ(x) là mật độ và Ω là miền xét tới.
Khối tâm xcm​ của một thanh có mật độ biến thiên theo chiều dài được tính bởi:

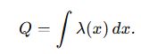
3. Điện tích và Trường điện – từ

Nếu mật độ điện tích λ(x) không đều trên dây dẫn, tổng điện tích là:

Tương tự, trường điện E hoặc thế điện V tại một điểm được tính bằng cách tích phân đóng góp của từng phần tử điện tích theo các định luật của Coulomb và Gauss. không đều trên dây dẫn, tổng điện tích là:

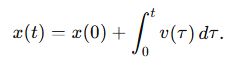
4. Động lượng – Năng lượng trong chuyển động

Vận tốc là đạo hàm của vị trí theo thời gian; do đó, ngược lại:

Tích phân mô tả chính xác quãng đường khi vận tốc thay đổi liên tục.
Tương tự, năng lượng tích trữ trong lò xo được tính bằng:

5. Nhiệt học và Truyền nhiệt

Trong các hệ thống nhiệt, lượng nhiệt cần thiết để tăng nhiệt độ vật có nhiệt dung không hằng số C(T) được cho bởi:

Điều này mô tả chính xác các quá trình gia nhiệt trong thực tế khi vật liệu không có nhiệt dung tuyến tính.

A - Z Sitemap

Đào tạo, nghiên cứu gắn liền với khoa học và công nghệ nhằm tạo ra những sinh viên và học viên có lòng yêu nước, có phẩm chất nhân văn mang đậm bản sắc Việt Nam, có ý thức sinh hoạt cộng đồng, có sức khỏe, có năng lực và kỹ năng toàn diện, tự tin, năng động, sáng tạo và trở thành công dân khởi nghiệp mang tính toàn cầu.